Thursday, October 31, 2019

TURUNAN FUNGSI ALJABAR- Latihan Soal


TURUNAN FUNGSI ALJABAR

Standart Kompetensi
6.     Menggunakan konsep limit fungsi dan turunan fungsi dalam pemecahan masalah.

Kompetensi Dasar
6.2  Menggunakan konsep dan aturan turunan dalam perhitungan turunan fungsi
Indikator
1.     Mendefinisikan pengertian turunan
2.    Menuliskan notasi turunan
3.    Menghitung turunan fungsi dengan menggunakan turunan
4.    Menentukan turunan suatu fungsi di satu titik tertentu
5.    Menentukan turunan fungsi aljabar
6.    Menerapkan penggunaan turunan fungsi aljabar pada pemecahan masalah

LATIHAN SOAL TURUNAN FUNGSI ALJABAR

Kerjakan soal minimal 35 pilih dari nomor 1-123






Sunday, October 20, 2019

LOGARITMA- KI KD Indikator dan Latihan Soal

LOGARITMA


Materi   : Logaritma, persamaan, dan pertidaksamaan Logaritma
Kelas       : X Peminatan
Semester : Ganjil


Kompetensi Inti

KI-1 dan KI-2:Menghayati dan mengamalkan ajaran agama yang dianutnya. 
                    Menghayati dan mengamalkan perilaku jujur, disiplin, santun, peduli (gotong royong, kerjasama, toleran, damai), bertanggung jawab, responsif, dan pro-aktif dalam berinteraksi secara efektif sesuai dengan perkembangan anak di lingkungan, keluarga, sekolah, masyarakat dan lingkungan alam sekitar, bangsa, negara, kawasan regional, dan kawasan internasional”.
KI 3:                         Memahami, menerapkan, dan menganalisis pengetahuan faktual, konseptual, prosedural, dan metakognitif berdasarkan rasa ingin tahunya tentang ilmu pengetahuan, teknologi, seni, budaya, dan humaniora dengan wawasan kemanusiaan, kebangsaan, kenegaraan, dan peradaban terkait penyebab fenomena dan kejadian, serta menerapkan pengetahuan prosedural pada bidang kajian yang spesifik sesuai dengan bakat dan minatnya untuk memecahkan masalah
KI 4:                          Mengolah, menalar, dan menyaji dalam ranah konkret dan ranah abstrak terkait dengan pengembangan dari yang dipelajarinya di sekolah secara mandiri, bertindak secara efektif dan kreatif, serta mampu menggunakan metode sesuai kaidah keilmuan

Kompetensi Dasar dan Indikator Pencapaian Indikator

Kompetensi Dasar Pengetahuan
Kompetensi Dasar Keterampilan
3.2.  Mendeskripsikan dan menentukan penyelesaian fungsi logaritma menggunakan masalah kontekstual, serta keberkaitanannya
4.2.  Menyajikan dan menyelesaikan masalah yang berkaitan dengan  fungsi logaritma
IPK Pengetahuan
IPK Keterampilan
3.2.1.  Menggunakan aturan yang berkaitan dengan fungsi logaritma dalam pemecahan masalah
3.2.2.  Menggunakan sifat-sifat persamaan logaritma dalam pemecahan masalah
3.2.3.  Menggunakan rumus-rumus dasar logaritma dalam memecahkan masalah matematika
3.2.4.  Menyebutkan macam-macam bentuk persamaan logaritma
3.2.5.  Menerapkan bentuk-bentuk-bentuk persamaan logaritma dalam menyelesaikan masalah matematis
3.2.6.  Menentukan himpunan penyelesaian dari persamaan logaritma yang diberikan dalam lembar kerja siswa
3.2.7.  Menentukan nilai suatu variable yang memenuhi persamaan logaritma yang diberikan dalam lembar tugas terstruktur
3.2.8.  Menentukan himpunan penyelesaian dari suatu persamaan logaritma yang diberikan dalam lembar tugas terstruktur
3.2.9.  Menggambar grafik fungsi logaritma dalam pemecahan masalah
3.2.10  Menentukan bentuk umum fungsi logaritma
3.2.11.  Melakukan tahapan-tahapan dalam melukis grafik fungsi logaritma
3.2.12.  Melukis sketsa grafik fungsi logaritma yang diberikan dalam lembar kerja siswa
3.2.13  Menentukan nilai maksimum dari fungsi logaritma yang diberikan dalam lembar kerja siswa
3.2.14  Melukis grafik fungsi logaritma dengan interval tertentu yang diberikan dalam lembar tugas terstruktur
3.2.15  Menentukan persamaan grafik dari fungsi yang diberikan sketsa grafiknya yang diberikan dalam lembar tugas terstruktur
3.2.16  Menggunakan sifat-sifat pertidaksamaan logaritma dalam pemecahan masalah
3.2.17  Menyebutkan macam-macam bentuk pertidaksamaan logaritma
3.2.18  Menerapkan bentuk-bentuk-bentuk pertidaksamaan ogaritma dalam menyelesaikan masalah matematis
3.2.19  Menentukan interval penyelesaian pertidaksamaan logaritma yang diberikan dalam lembar kerja siswa
3.2.20  Menentukan interval penyelesaian dari pertidaksamaan logaritma yang diberikan dalam lembar tugas terstruktur
4.2.1. Menyelesaikan masalah matematis dengan menggunakan penerapan bentuk-bentuk persamaan logaritma
4.2.2.  Menyelesaikan himpunan penyelesaian dari persamaan logaritma yang diberikan dalam lembar kerja siswa
4.2.3  Menyelesaikan penjulahan akar-akar dari himpunan penyelesaian dua buah persamaan logaritma yang diberikan dalam lembar tugas terstruktur
4.2.4. Menyelesaikan masalah dalam kehidupan sehari-hari yang berhubungan dengan fungsi logaritma
4.2.5  Menyelesaikan grafik dan nilai maksimum dari suatu fungsi logaritma yang diberikan dalam lembar kerja siswa
4.2.6.  Menentukan nilai maksimum dari fungsi logaritma yang diberikan dalam lembar tugas terstruktur
4.2.7.  Menyelesaikan masalah matematis dengan menggunakan penerapan bentuk-bentuk pertidaksamaan logaritma
4.2.8  Menyelesaikan interval penyelesaian pertidaksamaan logaritma yang diberikan dalam lembar kerja siswa
4.2.9  Menyelesaikan interval penyelesaian dari pertidaksamaan logaritma yang diberikan dalam lembar tugas terstruktur



Tujuan Pembelajaran

Setelah kegiatan belajar mengajar selesai, peserta didik dapat :
 Menghayati dan mengamalkan materi Fungsi  Logaritma sebagai bentuk penghayatan dan pengamalan ajaran agama yang dianutnya
Menguasai materi Fungsi  Logaritma dengan menunjukkan perilaku jujur, disiplin, tanggung jawab, peduli (gotong royong kerja sama, toleran, damai), santun, responsif, dan pro-aktif sebagai bagian dari solusi atas berbagai permasalahan dalam berinteraksi secara efektif dengan lingkungan sosial dan alam serta menempatkan diri sebagai cerminan bangsa dalam pergaulan dunia
Memahami, menerapkan, menganalisis pengetahuan faktual, konseptual, prosedural berdasarkan rasa ingin tahunya tentang ilmu pengetahuan, teknologi, seni, budaya, dan humaniora dengan wawasan kemanusiaan, kebangsaan, kenegaraan, dan peradaban terkait penyebab fenomena dan kejadian, serta menerapkan pengetahuan prosedural pada bidang kajian materi Fungsi Logaritma yang spesifik sesuai dengan bakat dan minatnya untuk memecahkan masalah.


Latihan Soal Logaritma

Kerjakan 
absen Ganjil Mengerjakan ganjil
absen Genap mengerjakan Genap



Friday, October 11, 2019

TUGAS MATRIKS

TUGAS KELOMPOK MATRIKS


Kelompok Berdasarkan jadwal piket
Kelompok

Senin =soal bernomor ganjil
Selasa =soal bernomor genap
Rabu =soal bernomor ganjil
Kamis =soal bernomor genap
Jumat =soal bernomor ganjil

Tulis di kertas folio
Lihat soal disini



Selamat Mengerjakan 

Sunday, October 6, 2019

ULANGAN EKSPONEN


Waktu Pengerjaan: 100:00 menit!

Matriks- Determinan Matriks

Determinan



Determinan matriks A didefinisikan sebagai selisih antara perkalian elemen-elemen pada diagonal utama dengan perkalian elemen-elemen pada diagonal sekunder. 
Determinan dari matriks A dinotasikan dengan det A atau |A|. 
Nilai dari determinan suatu matriks berupa bilangan real.

Deterninan Matriks Persegi

Determinan untuk setiap matriks persegi A dapat menentukan tepat satu bilangan real yang diperoleh dengan aturan tertentu terhadap unsur-unsur di A.
Untuk setiap matriks bujur sangkar A terdapat nilai karakteristi yang dikenal  sebagai determinan, biasa ditulis det (A) atau


Determinan matriks A ditulis sebagai


Determinan matriks ordo 2 x 2

Matriks berordo 2 × 2 yang terdiri atas dua baris dan dua kolom. Pada bagian ini akan dibahas determinan dari suatu matriks berordo 2 × 2. Misalkan A adalah matriks persegi ordo 2 × 2 dengan bentuk


Determinan matriks A di definisikan sebagai selisih antara perkalian elemen-elemen pada diagonal utama dengan perkalian elemen-elemen pada diagonal sekunder. Determinan dari matriks A dinotasikan dengan det A atau |A|. 
Nilai dari determinan suatu matriks berupa bilangan real.

Berdasarkan definisi determinan suatu matriks, Anda bisa mencari nilai determinan dari matriks A, yaitu:
Contoh

Determinan matriks ordo 3 x 3

Pada bagian ini, Anda akan mempelajari determinan mariks berordo 3 × 3.
Misalkan A matriks persegi berordo 3 × 3 dengan bentuk

Determinan dari Matriks diatas adalah

Jika dalam suatu permutasi ( susunan ) bilangan-bilangan yang lebih besar terletak di depan bilangan yang lebih kecil, maka permutasi itu disebut mempunyai inversi. Hasil kali susunan bilangan-bilangan dalam determinan A yang bertanda negatif apabila permutasi dari bilangan mempunyai banyak inversi ganjil, dan bertanda positif apabila permutasi mempunyai inversi nol atau genap.
Misalnya, permutasi dari 3 bilangan { 1 , 2 , 3 } yaitu :
123 , 132 , 213 , 231 , 312 , 321
·      Inversi dari 123 adalah 0, maka tanda perkaliannya “+”
·      Inversi dari 132 adalah 1, yaitu 32,maka tanda perkaliannya “-“
·      Inversi dari 213 adalah 1, yaitu 21,maka tanda perkaliannya “-“
·      Inversi dari 231 adalah 2, yaitu 21 dan 31,maka tanda perkaliannya “+“
·      Inversi dari 312 adalah 2, yaitu 31 dan 32,maka tanda perkaliannya “+“
·      Inversi dari 321 adalah 3, yaitu 32, 21 dan 31,maka tanda perkaliannya “-“




Untuk

merupakan determinan dari matriks A ordo Perkalian susunan bilangan-bilangan disesuaikan dengan permutasi n = 3 unsur yaitu :

artinya perkalian anggota-anggota pada baris pertama kolom ke-2 ; baris kedua kolom ke-3 dan pada baris ketiga kolom ke-1

Determinan ordo 3 juga dapat diselesaikan dengan cara SARRUS :

Adapun langkah-langkah yang harus di lakukan untuk mencari determinan matriks berordo 3 × 3 dengan metode Sarrus adalah sebagai berikut:
1. Salin kembali kolom pertama dan kolom kedua matriks A di     sebelah  kanan tanda         determinan.
2. Hitunglah jumlah hasil kali elemen-elemen pada diagonal utama dan diagonal lain yang sejajar dengan diagonal utama (lihat gambar). 
Nyatakan jumlah hasil kali tersebut dengan Du.

3. Hitunglah jumlah hasil kali elemen-elemen pada diagonal sekunder dan diagonal lain yang sejajar dengan diagonal sekunder (lihar gambar). Nyatakan jumlah hasil harga tersebut dengan Ds.

4. Sesuai dengan definisi determinan matriks maka determinan dari matriks A adalah selisih antara Du dan Ds yaitu Du Ds.


atau

Contoh soal :

Soal 1
Tentukan determinan matriks 

Pembahasan


Det A = 2.2.3 +1.1.5 +4.4.1-5.2.4 - 1.1.2 - 3.4.1=12 +5+16-40-2-12=-21
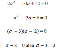
Soal 2
Diketahui matriks A= 
Hitunglah nilai-nilai a yang memenuhi det A = 0.
Pembahasan

Oleh karena det (A)=0, maka

Jadi nilai a yang memenuhi adalah 2 dan 3

Soal 3
Diketahui matriks A = 
Tentukan nilai determinan matriks A

Pembahasan

Jadi, nilai determinan matriks A adalah 21.

Soal 4
Hitunglah

a. det (A)
b. det (B)

Pembahasan  

Dengan metode sarrus det (B) ordo 3 x 3 dapat diselesaikan

Sifat-sifat Determinan

1. Nilai determinan tidak berubah apabila baris dan kolomnya dipertukarkan. Jadi,
2. Jika semua unsur dari suatu baris (atau kolom) adalah nol, determinan matriks itu sama dengan nol.
3. Jika semua unsur suatu baris (atau kolom) adalah nol, kecuali satu unsur, determinannya sama dengan hasil kali unsur itu dengan kofaktornya.
4.Pertukaran baris atau dua kolom sembarang akan mengubah tanda determinan.
5. Jika semua unsur suatu(baris atau kolom) dikalikan dengan sebuah bilangan, determinannya juga dikalikan dengan bilangan itu.
6. Jika dua baris (atau kolom) sama atau sebanding, determinannya sama dengan nol.
7. Jika setiap unsur dalam suatu baris (atau kolom) sebuah determinan merupakan jumlah dua suku, determinannya dapat dinyatakan sebagai jumlah dua determinan yang berukuran sama.
8. Jika kita mengalikan unsur-unsur suatu baris (atau kolom) dengan sebuah bilangan kemudian dijumlahkan dengan unsur-unsur yang bersesuaian dengan suatu baris (atau kolom) yang lain, nilai determinannya tetap.
9.Jika A dan B dua matriks bujur sangkar yang berukuran sama, maka
det (A ± B) = det(A) ± det(B)
10 Jika A dan B dua matriks bujur sangkar yang berukuran sama, maka

11. Jika A dan B dua matriks bujur sangkar yang berukuran sama, maka
det(AB) = det(A) ´ det(B)
12. Jumlah dari hasil kali unsur-unsur dalam suatu baris (atau kolom) dengan kofaktor-kofaktornya dari baris (atau kolom) lainnya adalah nol. Secara matematis,


Vektor soal ulangan 1

Ulangan vektor Buka Soal